Bacterial Growth kinetics is, “The study of the growth of bacterial cultures does not constitute a specialised subject or branch of research: it is the basic method of Microbiology”
J Mood, 1949
Bacterial growth involves anabolic and catabolic reactions. The Anabolic reactions synthesizes essential biomolecules whereas the catabolic reactions break down the nutrients and produces energy. The time required carry out the life process varies from bacterial species to species and it also depends upon the availability of nutrients and physical environment. We study about the microbial growth in order to understand life and to obtain biological products from them.
In-vitro conditions bacteria grow in controlled conditions and there are two approaches to obtain their fruitful growth namely batch and continuous culture. While growing the bacteria, it is vital to monitor and control their growth. The bacterial growth kinetics is the branch of Microbiology that deals with the study of rate of microbial growth. In this article, we will discuss the kinetics of batch culture. The basic terms have already been explain Q & A of Bacterial Growth Kinetics.
Bacterial Growth Kinetics in Batch Culture-
In the Batch culture, the nutrients are supplied only once and there is no scope of removal the waste or toxic molecules. Due to which the bacteria shows peculiar pattern of growth. Observing their growth pattern, we have divided it into four phases- lag phase, log phase, stationary phase and decline/death phase.
Lag phase – There is visible no bacterial growth. Bacteria uses this time in order to get adapt to the new environment.
Log phase – There is exponential increase in bacterial population.
Stationary phase – In this phase, the number of producing cells is equal to number of death cells due to which there is no change in bacterial population. Hence, called as stationary phase.
Death phase – Due to the nutrient exhaustion and accumulation of toxic molecules, the bacteria starts dying. Hence, there is decline in the bacterial population.
When bacteria multiplies by binary fission, it produces two daughter cells from a mother cell. Therefore, the bacterial population increase in the pattern of 2, 4, 8, 16, 32…
The growth pattern can also be mathematically written as 2n, where n is the number of generation.
21 = 2
22 = 4
23 = 8 and so on
To find final bacterial cell number or biomass, we should be be aware of initial bacterial population. suppose, X0 is the initial bacterial population then the final population or biomass (X) can be calculated by
X = X02n
Growth Kinetics of Lag, Log, Stationary and Death phase –
Lag phase – As there is no noticeable growth in lag phase, we don’t need to calculate the rate of increase in bacterial population.
Log phase –
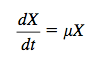
In log phase, there is constant change in bacterial biomass or population is observed. And this change of biomass is directly proportional to cell biomass concentration This can be represented as –

Solving the directly proportional relationship, we get

Where X – mass or number of bacterial cells (mass/volume)
t – Time in hours
μ – is specific growth rate constant (1/time)
Equation no. 2 can be used to calculate the generation time as well as the specific growth rate.
Rearranging the equation no. 2

Integrating equation no. 3, We integrate it from ‘zero’ to ‘t’ because the growth is measured from zero time to final time t. After integrating equation no. 3 we obtain



At initial time t0 = 0 (zero), hence equation no. 6 would become


Equation no. 8 is similar to y = mx +c (it is logarithmic equation for linear type of reaction. The bacterial growth in log phase is also a linear type. Hence, ‘m’ slope of logarithmic equation is similar to μ of equation 8. The μ represent the rate of change of bacterial growth in logarithmic phase and it can be calculated from slope of line obtained from semi log plot of exponential phase.

Rewriting equation no. 9

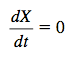
Stationary phase –
It is the third phase in which there is no change in bacterial population because of rate of cell production is equal to rate of cell death. This situation can be expressed mathematically as

The cells die because of the exhaustion of nutrients and accumulation of waste. The cells that multiply in stationary phase by utilizing the left out nutrients and they also feed on dead cells. The bacterial growth on dead cells is called as endogenous metabolism.
Death Phase –
This is the last phase of bacterial growth curve of the batch culture . In this phase, bacteria are still multiplying but at very slow rate. The death rate is much more than production of cells, i.e. more number of cells are dying than producing. Hence, this situation can be mathematically represented as

kd is specific death rate
Significance of Bacterial growth kinetics –
- The bacterial growth kinetics explains the change of biomass production in different phases of bacterial batch culture.
- It can be used to study the role of environmental factors affecting the change of biomass.
References-
https://booksite.elsevier.com/samplechapters/9780123705198/Sample_Chapters/04~Chapter_3.pdf
http://rpdata.caltech.edu/courses/Physiology%20Matlab%202014pdf
Dr. Sangha Bijekar has 9 years of Teaching Experience at University level. She loves to get engage in teaching and learning process. She is into blogging from last two years. She intends to provide student friendly reading material. She is avid Dog Lover and animal rescuer. She is learned Bharatnatyam and Katthak Dancer. She is into biking and She also loves to cook.
